|
<< Click to Display Table of Contents >> Raynet One Data Hub > 25.4 > Dashboards and Reports Customization Guide > Designing Dashboards > Data Shaping Summarization |
To obtain numeric values that should be displayed within a dashboard item, Dashboard calculates a summary function against the specified measure.
The following summary functions are available.
•Count - The number of values (excluding Null and DBNull values).
This is the only summary type that can be calculated against non-numeric data.
•Count Distinct - The number of distinct values.
•Sum - The sum of the values.

•Min - The smallest value.
•Max - The largest value.
•Average - The average of the values.

•StdDev - An estimate of the standard deviation of a population, where the sample is a subset of the entire population.

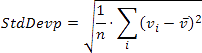
•StdDevP - The standard deviation of a population, where the population is the entire data to be summarized.

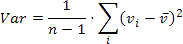
•Var - An estimate of the variance of a population, where the sample is a subset of the entire population.

•VarP - The variance of a population, where the population is the entire data to be summarized.

By default, Dashboard calculates Sum for numeric measures and Count for measures that contain another type of data.
You can change the summary function type for numeric measures. To do this, invoke the dashboard item Bindings menu and select the required data item. In the drop-down Summary Type list, select the desired summary type.
